资源篮
0
普通会员
限时优惠
登录
首页
文库
国家标准
综合
农林业
医药卫生
矿业
石油
能源
化工
冶金
机械
国际标准
ISO 国际标准化组织
IEC 国际电工委员会
ITU 国际电信联盟
CAC 国际食品法典委员会
WHO 世界卫生组织
IEEE 电气与电子工程师学会
行业标准
安全生产
石油化工行业
机械行业
化工行业
轻工行业
有色冶金行业
管理体系
质量手册
程序文件
作业指导书/规范
记录与表单
内审/管理评审
措施管理
法律法规
宪法
法律
行政法规
监察法规
地方法规
军事法规
部门规章
地方政府规章
司法解释
工程资料
施工组织设计
工程造价预算
安全资料
技术交底
施工图纸
试验检测
设计、计算
竣工资料编制
行业方案
工业制造
医药健康
石油化工
矿业工程
计算机服务与软件业
弱电工程
数字基建
应急管理
工作总结
办公文档
项目管理
规章制度
事务文书
调研报告
工作计划
招标投标
活动策划
会议纪要
通知/申请
演讲致辞
述职报告
HR管理
合同协议
房屋合同
买卖购销
投资合作
劳动人事
委托代理
加工承揽
借贷担保
租赁合同
服务合同
技术合同
婚姻家庭
运输仓储
知识产权
捐赠赠与
供用合同
诉讼文书
教育培训
幼儿教育
学历教育
资格考试
职业培训
出国留学
公职考试
毕业论文
毕业答辩
标签
专题
悬赏
赚钱
文库
教育培训
其他资料
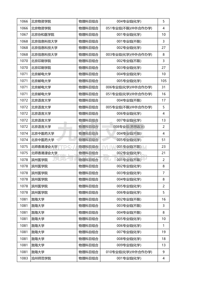
安徽省2025年本科批(物理类)投档线
高考志愿填报
XLSX
186页
下载56
2026-04-10
浏览18104
收藏476
点赞402
评分-
30积分
侵权举报
温馨提示:当前文档最多只能预览 5 页,若文档总页数超出了 5 页,请下载原文档以浏览全部内容。
剩余181页未读,
下载浏览全部
收藏
已收藏
喜欢
已喜欢
文档描述
安徽省2025年本科批(物理类)投档线
沫沫的朋友
这个人很懒,什么都没留下
个人认证
查看用户
该文档于
上传
推荐文档
院校盘点:各有特色的实力“工业”大学
通过一句话了解全国39所985院校
通过一句话了解211院校强势特色
高中家长了解院校必备:名校全面解读
26所高考招生的军队院校简介及专业介绍
湖北省2025年本科普通批录取院校(首选历史)平行志愿投档分数线.xlsx
黑龙江2025年普通本科批(历史类)平行志愿投档分数线
甘肃省2025年投档分数统计
安徽省2025年本科批(物理类)投档线
中国大学专业排名
最新文档
院校盘点:各有特色的实力“工业”大学
通过一句话了解全国39所985院校
通过一句话了解211院校强势特色
高中家长了解院校必备:名校全面解读
26所高考招生的军队院校简介及专业介绍
双高计划
全国具有保研资格的高校名单(367所)
全国31省市教育考试院官方网站汇总
家长必知:本科专业详解
浙江省2025年普通高校招生普通类第一段平行投档分数线表
新疆2025年文史类投档线
新疆2025年理工类投档线
天津市2025本科批A段投档线
上海市2025年普通高校招生本科普通批次平行志愿院校专业组投档分数线
江西省2025年普通高校招生(物理+历史)本科
江苏省2025年高考本科批次-物理类投档线
江苏省2025年高考本科批次-历史类投档线
湖南省2025年普通高校招生本科批(体育类)第一次投档分数线
湖南省2025年普通高校招生本科批(普通类)第一次投档分数线
湖南省2025年普通高校招生本科批(普通类)第一次投档分数线(不组织专业考试的艺术专业)
QQ
QQ扫一扫联系
点击联系
2353775572
微信
微信扫一扫联系客服
微信公众号
扫一扫访问公众号
扫一扫
客服